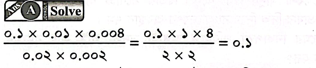
$\frac{0.1 \times 0.01 \times 0.004}{0.02 \times 0.002}$ -এর মান কত?
0.1
0.01
0.02
0.001
Explanation:
Correct Answer is: 0.1

0.1
0.01
0.02
0.001
Correct Answer is: 0.1

নিচের কোনটি অপ্রকৃত ভগ্নাংশ? Option A: ⅔ , Option B: ⅓ , Option C: ⅕, Option D: 3/2, correct answer is: 3/2
নিচের কোন ভগ্নাংশটি অসীম দশমিক ভগ্নাংশ? Option A: 1/2 , Option B: 1/3 , Option C: 1/4, Option D: 1/5, correct answer is: 1/3
সর্বমোট কত সংখ্যক গাছ হলে একটি বাগানে ৭, ১৪, ২১, ৩৫, ৪২ সারিতে গাছ লাগালে একটিও কম বা বেশি হবে না? Option A: ২৪০ , Option B: ২১০ , Option C: ২২০, Option D: ২৩০, correct answer is: ২১০
4(x + y), 10(x - y) এবং 12(x2 - y2) এর গ.সা.গু কত? Option A: x - y , Option B: x + y , Option C: 12(x2 - y2), Option D: 2, correct answer is: 2
কোন ক্ষুদ্রতম সংখ্যা হতে ১ বিয়োগ করলে বিয়োগফল ৯, ১২ ও ১৫ দ্বারা নিঃশেষে বিভাজ্য হবে? Option A: ১৮১ , Option B: ২৪১ , Option C: ৩৬১, Option D: ১২১, correct answer is: ১৮১