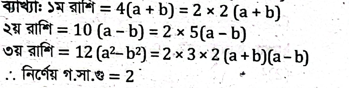
4(a + b), 10(a – b) এবং 12 (a2 – b2) এর গ.সা.গু. কত?
12(a2-b2)
a+b
2
a-b
Explanation:
Correct Answer is: 2

12(a2-b2)
a+b
2
a-b
Correct Answer is: 2

কোন পরীক্ষায় পরীক্ষার্থীর ৮০% গণিত এবং ৭০% বাংলায় পাশ করল । উভয় বিষয়ে পাশ করল ৬০% । উভয় বিষয়ে শতকরা কতজন ফেল করল। Option A: 12 , Option B: 11 , Option C: 10, Option D: 15, correct answer is: 10
একটি ঘড়ি ১৫০ টাকায় বিক্রয় করা হলে ২৫ % ক্ষতি হলো । ঘড়িটির ক্রয়মূল্য কত? Option A: 250 , Option B: 175 , Option C: 220, Option D: 200, correct answer is: 200
কমপক্ষে কতগুলো ক্রমিক পূর্ণসংখ্যা নিলে তার গুণফল অবশ্যই ৫০৪০ দ্বারা বিভাজ্য হবে? Option A: ৮টি , Option B: ৭টি , Option C: ৬টি, Option D: ৯টি, correct answer is: ৬টি
দুইটি সংখ্যার অনুপাত 7 : 5 এবং তাদের ল.সা.গু. 140 হলে সংখ্যা দুইটির গ.সা.গু. কত? Option A: 4 , Option B: 12 , Option C: 6, Option D: 9, correct answer is: 4
দুইটি সংখ্যার অনুপাত ৭ : ৮ এবং তাদের ল.সা.গু ২৮০ হলে সংখ্যা দুইটির গ. সা. গু কত? Option A: 5 , Option B: 6 , Option C: 7, Option D: 4, correct answer is: 5